Hello,
Im an absolute beginner in using AIMMS and I hope you can help me here.
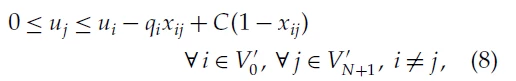
I have to enter the following objective function (1) and the constraints (2) + (8) into my AIMMS model.
Can you please tell me how and in which field I have to enter the data under the sum sign and after the constraint (e.g. i E V).
I tried to put the index i, j and V as the index in the set customers, but now I have the problem that for example index i is in constraint (8) taken from set V’0 and not only from set V.
Set V’0 is drifferent to set V (customers).

